Icixy's Blog
首页
分类
☘️ Trilium 相关
2
🧠 技术与工程
11
✍️ 写作与文学
1
🕹️ 游戏与互动媒体
3
✨ 私人文库
40
标签
归档
导航
更多
海报墙
✨收藏夹
🍻哔哩哔哩
关于
关于
友链
首页
自动控制原理常用公式汇总
经典输入信号:名称时域表达式复域表达式单位阶跃函数\(1(t),t\geq0\)\(\frac{1}{s}\)单位斜坡函数\(t,t\geq0\)\(\frac{1}{s^2}\)单位加速度函数\(\frac{1}{2}t^2,...
公式汇总
自动控制原理
技术与工程
2周前
根轨迹图绘制法则
序号内容法则法则1根轨迹的起点和终点根轨迹起于开环极点(包括无限极点),终于开环零点(包括无限零点)法则2根轨迹的分支数,对称性和连续性根轨迹的分支数等于开环极点数 \(n(k>m)\),或开环零点数 ...
自动控制原理
根轨迹图
技术与工程
3周前
单片机实验五:模拟接口实验
一、实验目的1、掌握A/D转换与单片机的接口方法;2、掌握STC15系列单片机内部A/D转换器和实验板上的ADC与DAC编程方法;3、掌握数据采集程序的设计方法;二、实验内容1、在PROTEUS软件仿真环境下,采用STC15系列单片机内部A...
单片机
技术与工程
1个月前
《电机与拖动基础》课程知识速览
第1章磁路前情提要:电机是进行机电能量转换的装置机电能量转换的媒介是磁场,磁场的路径称为磁路在工程中,通常将磁场问题简化为磁路问题1.1磁路的基本定律(1)磁场的几个常用物理量磁感应强度(又称磁通密度)\(B\)表征磁场强弱及方...
大学课程
知识速览
电机
技术与工程
2个月前
《传感器原理与检测技术》课程知识速览
1传感器基础理论1.1定义与组成传感器的定义:传感器概念的英语表述一般为:“Asensorisadevicethatreceivesastimulusandrespondswithanelectricalsignal”。根据我国国家标准(G...
传感器原理与检测技术
大学课程
知识速览
技术与工程
2个月前
《电力电子技术》课程知识速览
第1章绪论 第2章电力电子器件什么是电力电子器件?答:电力电子器件(PowerElectronicDevice)是用于主电路中,实现电能的变换或控制的电子器件。2.1概述2.1.1特征电力电子器件处理电功率的能力远大于信息电子器件...
电力电子技术
知识速览
大学课程
技术与工程
2个月前
劳斯–赫尔维茨稳定性判据
劳斯–赫尔维茨稳定性判据(英语:Routh–Hurwitzstabilitycriterion)是控制理论中的一个数学判据,是线性时不变系统(LTI)稳定的充分必要条件。劳斯测试是由英国数学家爱德华·劳斯在1876年提出的快速算法,可以判断...
系统稳定性
技术与工程
2个月前
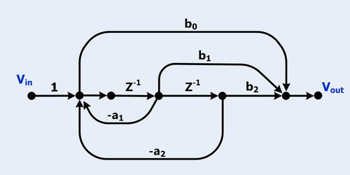
梅森增益公式
梅森增益公式(英语:Mason'sGainFormula,MGF)是寻找线性信号流图(SFG)传递函数的方法。该公式是塞缪尔·杰斐逊·梅森推导出的,[1]也是用他的名字命名的。MGF是用代数方法标记每个信号,将信号依赖于其他信号的方式写成方...
系统结构图
信号流图
梅森增益公式
技术与工程
3个月前
MCS-51单片机指令系统
1指令格式MCS-51单片机汇编语言指令格式如下:[标号:]操作码[操作数或操作数地址][;注释]标号是程序员根据编程需要,给指令所在地址设定的符号表示;标号由1~8个字符组成,第一个字符必须是英文字母,不能是数字或其他符号,标号不允许与保...
单片机
指令系统
技术与工程
3个月前
方块图(系统结构图)的简化规则
方块图(blockdiagram)是有关系统的示意图,其中的主要机能或是零件用方块表示,方块之间有线连接,表示各方块之间的关系[1]。块图常用在硬件设计、电路设计、软件设计及制程流程图。方块图一般是用在比较架构性、概念性的说明,不会有细部具...
方块图
系统结构图
简化规则
技术与工程
3个月前
补码运算中关于溢出的判断
进位位⨁次进位位=0(无溢出):1(溢出) ...
补码运算
溢出判断
技术与工程
3个月前
ATM9中面向新手,前中期少走弯路实用技巧教程(量产三大矿之前) - [ATM9]All the Mods 9
站内已有量产三大矿及后期阶段教程,本教程主要内容适用于ATM9中从创建存档至量产ATM三大矿阶段,主要面对人群为初次尝试整合包,或者希望更快完成前中期发展的玩家,主要目的是提供一些ATM9指导书中没有的内容与技巧,帮助大家在前中期少走弯路。...
ATM9
我的世界
游戏与互动媒体
3个月前
linux 增加 swap 交换内存
1.先关掉正在用的Swap文件sudoswapoff/swapfile2.检测Swap文件位置sudoswapon-s示例:[root@iZbp1a3woe7w6vnjln4sorZ~]#swapon-s文件名类型大小已用权限/www/sw...
linux
swap
说说
5个月前
MC服务器配置SRV解析记录
名称可以填:_minecraft._tcp.mc优先级和权重都是可以随便写端口写开隧道的游戏端口...
游戏
游戏与互动媒体
5个月前
Github代理地址
GithubProxy支持GitHub(GitClone、Releases、Archive、Gist、Raw)文件加速访问,提升下载体验。https://gh.llkk.cc/https://gitproxy.click/https://h...
Github代理
说说
5个月前
= 更多内容请前往 
归档
 =
说说
5个月前
linux 增加 swap 交换内存
5个月前
Github代理地址
5个月前
RDPWrap实现win11多用户同时登录并使用
5个月前
移除pve里的local-lvm分区
5个月前
为hexo博客添加sitemap和robot文件
📖 推荐阅读
🔥
九纪真空录:文明与宇宙的终极对弈
🔥
ATM9中面向新手,前中期少走弯路实用技巧教程(量产三大矿之前) - [ATM9]All the Mods 9
📌 快捷栏
ITdog - 网站ping测试
Memos - 我的碎碎念
哔哩哔哩 - bilibili
智慧课堂 - GUET
选课入口 - GUET
Trilium - 个人笔记软件
Kimi - AI
Moonshot AI 开放平台 - Kimi 大模型 API 服务
豆包 - AI
秘塔 - AI
倚溪饮
倚之道气高,饮之诗思鲜
GitHub
哔哩哔哩
公告 📢
目前博客正在建设当中,如有什么问题请联系站长处理,邮箱📫:leaf_brook@163.com
最新评论
加载中...